
PRODUCT
CONTACT US
If you need to consult products please call the hotline:
SALES EMAIL
sales@nccchina.cn
SERVICE LINK
400 809 5700
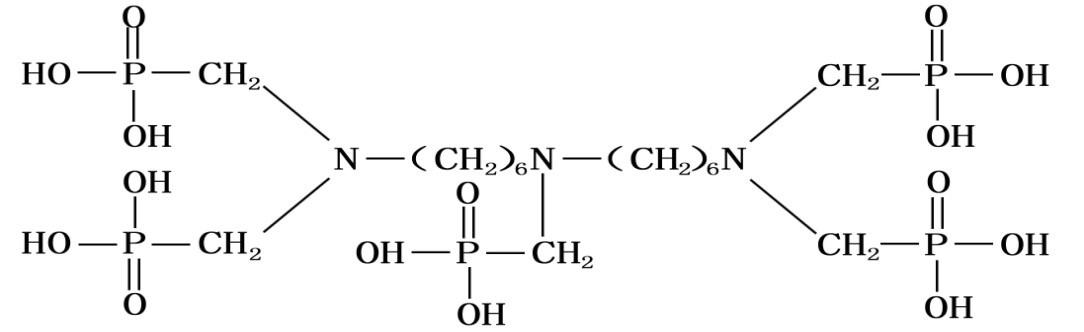
BHMTPMPA is a high-efficient chelating scale inhibitor, it has good effect to carbonate and sulfate scale.BHMTPMPA has good water-soluble properties, heat thermal stability and high calcium ion tolerance in a wide pH ranges and at temperature as high as 120℃.